Cenníky elektriny na rok 2018

Zobraz úvodný príspevok
ahoj , tak postupne nam pridavaju cenniky elektrinyked ma niekto nejaky novy moze sa podelit :) https://www.vyhodnaenergia.sk/blog/15...
Odpovedať
1
2
@vader100 @duzu Preco nepozerate koncovu cenu elektriny ale porovnavate len cenu cistej elektriny? Moze byt Vam u prdele ci to tam stoji tolko ci viac, podstatna je konecna cena a ta pri VSD je pri dd5 stale nizsia ako pri DD2
Odpovedať
Cena koncovej ceny elektriny v DD2 je o cca. 3 centy vyssia ako cena elektriny v NT v DD5. FIxne poplatky su v DD5 nizsie ako v DD2. Takze je lahke si vypocitat, kolko clovek usetri prechodom do sadzby DD5 s DD2, ak splna podmienky.
Odpovedať
@codyy asi poriadne nevidíš, v tomto roku je konečná cena vo VSD v DD2 0,1352 Eur/kWh a mesačná platba 5,8626 Eur v DD5 je konečná cena vo VT 0,1229 a mes. p. 5,2319 Eur takže je DD5 vždy výhodnejšie https://www.vse.sk/sdoc/doc/elektrina...
Odpovedať
@codyy dobre som nevidel čo si písal, takže sory obaja tvrdíme to isté, no vždy je výhodnejšie vybrať si pre svoj pomer VT a NT najvýhodnejšieho dodávateľa a VSD to nie je.
Odpovedať
@pircuk @duzu Idem si pozrieť cenník v SSE
Odpovedať
@duzu SSE: DD2- VT : 0,119 -poplatok 7,98/M DD5- VT: 0,156- poplatok 12,52/M NT: 0,096 Ja mám elektriku cez SPP.
Odpovedať
@blackomt tiež som SSE-D tú meniť nemôžeš , no dodávateľa silovej si môžeš vybrať podľa svojho pomeru VT a NT vo vyšších sadzbách i odberoch. pri nízkej spotrebe sa neoplatí meniť dodávateľa usporíš max pár Eur, ak nemáš dohodnutú cenu tak v súčasnosti je najvýhodnejší dodávateľ v sadzbe DD5 ZSE a.s. , pri malej spotrebe vo VT i pri max 20 %, to je časovo pomer v hod 4:20= 20% SPP jedna energia je až na 9 mieste v SSE-D môžeš mať spotrebu vo VT do 16%, ináč ti zmenia na DD2
Odpovedať
ma niekto na vychode elekrinu od zse?
Odpovedať
Diskusia pokračuje po 11 mesiacoch
Ahojte, narazil som na túto tému a úprimne mám v tých cenách elektriny solídny guláš a to ešte som sa poriadne nezamýšlal nad tarifou :D Mám niekoľko otázok: 1. ZSE rieši cenu elektriny na základe ističa? (či je 3x32A alebo 3x25A). Pýtam sa lebo som našiel 2 cenníky a v jednom je to s ohľadom na istič a v druhom nie. (ceny bez ističa https://www.zse.sk/documents/13897953... ceny s ističom: https://www.zse.sk/documents/13899607... ) 2. Aké odporúčanie máte vzhľadom na to že budem mať v dome elektrickú rúru + dosku na veranie a kúrenie TČ? Ďakujem pekne. Y
Odpovedať
Profilova fotka
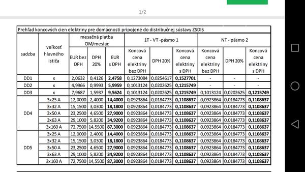
@ms_ Podľa ističa.Ja mám DD5,istič 3x25A,a mesačne platím 14,4€,a to ešte ani nešťuknem vypinačom.
Odpovedať
@similsk presne preto sa pýtam, lebo za 3x32A je ten poplatok tuším 17e
Odpovedať
Profilova fotka
@ms_ Za 3x32 istič je poplatok presne 18,18€ mesačne.A to ešte ani nič nezapneš.Ja som to preratával,kedy sa mi oplatí sadzba DD5.Musím minúť medzi 8000 až 9000kwh,vtedy je to na hrane.Já míňam ročne okolo 6500 až 7000kwh,pre mńa DD5 nieje rentabilná.Ak by som mal DD2,ročne by som ušetril asi 40€.Ale stále som sa neodhodlal k zmene sadzby,pretože za 1. som lenivý tam ísť,a za 2. čo keď bude o rok extremne tuhá zima,a vtedy sa DD5 oplatí.A takto váham už 4 roky.Ale raz ma to nasere a zmením to.
Odpovedať
@similsk ak ches zmenit sadzbu nemusis nikam chodit ;-)
Odpovedať
@similsk len odhadnúť pre mňa koľko budem míňať je dosť ťažké, ale asi to vidím na DD2 aj ja s 3x32A ;) A presne ako píše @vader100, toto vieš vyriesit online.
Odpovedať
Profilova fotka
Tak beriem späť svoje tvrdenie o 2 príspevky vyššie,kde som tvrdil,že sa mi DD5 neoplatí,pokiaľ neminiem aspoň 6500 KWH a viac.Prerátal som to podľa platného cenníka ZSE,a DD5 sa mi oplatí od 5000KWH +. Rozdiel je síce pri tomto množstve /5000KWH/ len 25€ v prospech DD5 oproti DD2, ale aj tých 25€ je viac ako nič.Ak bude náhodou zima tuhšia, a minie sa viac elektriky,tak to vyjde lepšie.Takže zatiaľ tarifu nemením PS: O zmene cez web viem,len sa mi to doteraz nechcelo riešiť,a po prepočte podľa faktúry,ktorú som momentálne obdržal to zatiaľ nechám na sadzbe DD5.
Odpovedať
@similsk nedá sa jednoznačne určiť , lebo pri každom pomere VT a NT je to iná hodnota, najskôr vtedy ked je spotreba vo VT čo najnižšia, @ms_ vieš celkovú spotrebu, na stránke www.vyhodnaenergia.sk si zistíš pri zadaní rôznych hodnout
Odpovedať
Článok sa načítava...
Profilova fotka
@duzu máš pravdu,závisí to od spotreby vo VT,čím je vyššia,tým sa DD5 menej vyplatí.Ja mám spotrebu vo VT v priemere asi 400-450 kwh/rok.V NT mám okolo 4500-6500 kwh/rok. Ak cez týždeň po večeroch/ 16:30 -20:30/ a vsobotu a nedelu kúrim kachlami, tak som v NT aj na úrovni okolo 4500kwh, čo je prijateľná spotreba.
Odpovedať
@similsk ahoj, presne toto som riesil na zaciatku roka. Mam taktiez ZSE DD5, VT 360 kwh, NT 6660 kwh, celkovo 7020 kwh. Istenie 3x25A Podla tych online kalkulaciek som taktiez akurat na hranici.
Odpovedať
Profilova fotka
Vie niekto , koľko je aktuálna cena v SSE - Slovenské elektrárne s poplatkami za 1kwh s DPH v DD2 ? Na stránke majú len cenu za 1kwh bez poplatkov čo je suma 0.05702€ s dph
Odpovedať
Profilova fotka
už som to našiel .tak aspoň pre ostatných cena na rok 2019 slov. elektrárne SSE pre západ
Odpovedať
Diskusia pokračuje po 2 mesiacoch
Nie je najlepsia volba dd8? ziadne mesacne poplatky.. https://www.sse.sk/buxus/docs/dokumen... inak dalsi rok sa mame na co tesit..media pisu 20% zrazenia, suska sa o vyse 50%..udajne sa caka na volby, aby to bolo az po... https://finweb.hnonline.sk/ekonomika/...
Odpovedať
Diskusia pokračuje po 3 mesiacoch
Na stránke www.vyhodnaenergia.sk , bude v decembri uvedený nový cenník, pre spoločný výber, vyberie sa najlacnejší dodávateľ,energií elektrina,plyn, každý kto má záujem a môže meniť dodávateľa od nového roka, nech sa zaregistruje a dostane najvýhodnejšiu ponuku
Odpovedať
@radoslavc Tak mne už dnes prišli preddavkové platby za elektriku ..a preddavok mi zvýšili presne o 14% a to som mal malinko menšiu spotrebu ako minulý rok. Ešte že s ňu nekúrim.
Odpovedať
1
2
Na pridanie príspevku sa musíte prihlásiť.
Presunutím fotiek môžete zmeniť ich poradie

Nenašli ste čo ste hľadali?